IGM Interaction of Lyman-alpha Emitters Spectra
Lyman-alpha emitters (LAEs) show a rich variety of spectral shapes due to the emission line’s resonant nature and typically high optical depths. While there is a large body of literature exploring how small-scale density and velocity distributions can explain this variety of features in spectra, the intergalactic medium (IGM) has often been neglecting as a contributing factor for such features.

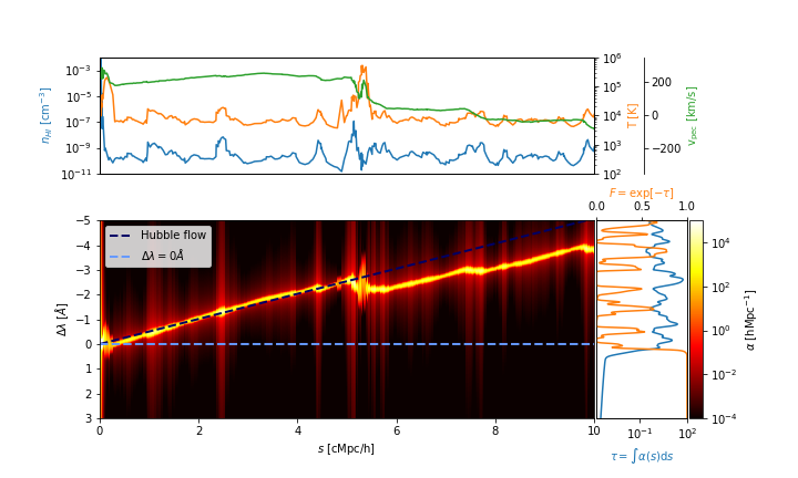
Above sketch helps visualizing how the IGM density and velocity structure along a line-of-sight give rise to an attenuation profile possibly shaping the arising spectrum.
Ongoing work seeks to explore how spectral shapes might be affected by the IGM and whether we can even infer statistical properties of the IGM along the line-of-sight.